Jandarma Akademisine (JSGA), TYT ve AYT puanıyla 200 erkek öğrenci alınacak (Subay)
Jandarma ve Sahil Akademisi Güvenlik Bilimleri Fakültesine Temel Yeterlilik Testinden (TYT) 150 veya üzerinde puan almak kaydıyla 200 erkek öğrenci alınacak. Ayrıca, AYT testinde EA puan türünde en 250 bininci, SAY'da en 10 bininci, SÖZ'de en az 50 bininci sırada yer alan adayın puanına sahip olmak şartı aranıyor. Başvurular; 12 Temmuz 2021 günü başlayıp, 08 Ağustos 2021 günü saat 23.59'da sona erecektir.
İşte Jandarma ve Sahil Akademisi Güvenlik Bilimleri Fakültesine alınacak öğrenci alım kılavuzu
JANDARMA GENEL KOMUTANLIĞINDA İSTİHDAM EDİLMEK ÜZERE JANDARMA VE SAHİL GÜVENLİK AKADEMİSİ GÜVENLİK BİLİMLERİ FAKÜLTESİ'NE ÖĞRENCİ TEMİNİ SINAVLARINA KATILACAK ADAYLARIN DİKKATİNE!
1. BAŞVURU, SINAV VE SINAV SONRASI İŞLEMLERE AİT BÜTÜN KURALLAR BU KILAVUZDA AÇIKLANMIŞTIR.
2. BU KILAVUZDA YER ALAN KURALLAR, KILAVUZUN YAYIM . . . .. . . .
TARİHİNDEN SONRA JANDARMA VE SAHİL GÜVENLİK AKADEMİSİ BAŞKANLIĞI TARAFINDAN GEREKLİ GÖRÜLDÜĞÜ TAKDİRDE DEĞİŞTİRİLEBİLİR. KANUN VE YÖNETMELİKLERLE UYUŞMAZLIK OLMASI DURUMUNDA KANUN VE YÖNETMELİK HÜKÜMLERİ GEÇERLİ OLACAKTIR.
3. TEMİN SÜRECİNDE HER TÜRLÜ DUYURU VE BİLGİLENDİRME https://vatandas.jandarma.gov.tr/PTM/Giris İNTERNET ADRESİ JANDARMA VE SAHİL GÜVENLİK AKADEMİSİ PERSONEL TEMİN SİSTEMİNDEN YAPILACAKTIR.
4. BU KILAVUZ, JANDARMA VE SAHİL GÜVENLİK AKADEMİSİ GÜVENLİK BİLİMLERİ FAKÜLTESİNE BAŞVURU VE SEÇME SINAVLARI ESASLARINI KAPSAMAKTA, SADECE İNTERNET SİTELERİNDE YAYIMLANMAKTA, KILAVUZUN BASIM VE DAĞITIMI YAPILMAMAKTADIR.
JANDARMA GENEL KOMUTANLIĞININ MUVAZZAF SUBAY İHTİYACININ KARŞILANMASI MAKSADIYLA JANDARMA VE SAHİL GÜVENLİK AKADEMİSİ GÜVENLİK BİLİMLERİ FAKÜLTESİNE (200) ERKEK ÖĞRENCİ TEMİN EDİLECEKTİR.
1. JANDARMA VE SAHİL GÜVENLİK AKADEMİSİ GÜVENLİK BİLİMLERİ FAKÜLTESİ HAKKINDA GENEL BİLGİLER:
a. Jandarma ve Sahil Akademisi Güvenlik Bilimleri Fakültesi Ankara ilinde bulunan Jandarma ve Sahil Güvenlik Akademisi Başkanlığı (JSGA) yerleşkesi içerisinde bulunmaktadır.
b. Jandarma ve Sahil Güvenlik Akademisi Güvenlik Bilimleri Fakültesi;
(1) Jandarma Genel Komutanlığının ihtiyaç duyduğu (Jandarma ve Sahil Güvenlik Akademisi Güvenlik Bilimleri Fakültesine sadece J.Gn.K.lığı için öğrenci temin edilecektir.) miktarda subay yetiştiren, bir yılı İngilizce hazırlık (Sınavlarda başarılı olarak kayıt yaptıran öğrenciler, İngilizce muafiyet sınavına tabi tutulacaktır. Bu sınavda başarılı olanlar doğrudan 1'inci sınıftan başlayacaktır.) olmak üzere (5) yıl lisans düzeyinde eğitim-öğretim veren İçişleri Bakanlığına bağlı yükseköğretim kurumudur. Jandarma ve Sahil Güvenlik Akademisi Güvenlik Bilimleri Fakültesinde subay diplomasının yanısıra ulusal ve uluslararası geçerliliği olan lisans diploması da verilmektedir.
(2) Jandarma ve Sahil Güvenlik Akademisi Güvenlik Bilimleri Fakültesinde öğrencilere lisans programı öncesinde nitelikli bir İngilizce hazırlık eğitimi verilmekte ve başarılı öğrencilere yurt dışında dil imkanı sunulmaktadır.
(3) Jandarma ve Sahil Güvenlik Akademisi Güvenlik Bilimleri Fakültesinden mezun olan subaylar ülkenin emniyet ve asayişinin sağlanmasında temel rolü oynayan Jandarma Genel Komutanlığının yönetim kademelerinde görev almaktadır.
(4) Jandarma ve Sahil Güvenlik Akademisi Güvenlik Bilimleri Fakültesinde öğrenim gören bütün öğrencilerin bütün ihtiyaçları (yemek, yatak, kıyafet, harçlık, eğitim-öğretim giderleri vb.) devlet tarafından karşılanmaktadır.
(5) Jandarma ve Sahil Güvenlik Akademisi Güvenlik Bilimleri Fakültesinde lisans düzeyinde eğitim aldıktan sonra Teğmen nasbedilen subaylar; 926 sayılı TSK Personel Kanunu hükümlerine göre aylıklarına ilave olarak; silahlı kuvvetler tazminatı, aile ve çocuk yardımı, doğum ve ölüm yardımı, tayın bedeli, emniyet ve asayiş hizmeti tazminatlarından yararlanmaktadır.
(6) Jandarma subayları; orduevlerinden, lojmanlardan ve Ordu Yardımlaşma Kurumunun (OYAK) imkanlarından istifade etmektedir.
2. TEMİNİ YAPILACAK ÖĞRENCİ KAYNAKLARI VE ŞARTLARI :
a. Lise veya lise dengi meslek okulu mezunları veya kayıt tarihine kadar mezun olabilecek durumda olanlar ile denkliği Milli Eğitim Bakanlığınca onaylanmak kaydıyla yabancı ülke lise mezunu olanlar müracaat edebilecektir.
b. Jandarma ve Sahil Güvenlik Akademisi Güvenlik Bilimleri Fakültesinde başvuru için; ÖSYM tarafından yapılan 2021 yılı Yükseköğretim Kurumları Sınavı'nda (YKS) aldıkları puan (Okul ve Ortaöğretim başarı puanı eklenmemiş şekliyle ) esas alınarak;
(1) Temel Yeterlilik Testinden (TYT) 150 veya üzerinde puan almak,
(2) Alan Yeterlilik Testi'nden (AYT);
- Eşit Ağırlık (EA) puan türüne göre, sıralamada en az 250.000'inci sırada yer alan adayın puanını almak,
- Sayısal (SAY) puan türüne göre, sıralamada en az 100.000'inci sırada yer alan adayın puanını almak,
- Sözel (SÖZ) puan türüne göre, sıralamada en az 50.000'inci sırada yer alan adayın puanını almak,
(3) Şehit veya vazife malulü eş ve çocuklarının ise yukarıda belirtilen puanların (EA, SAY, SÖZ) en az %80'ini almış olması gereklidir.
c. Jandarma ve Sahil Güvenlik Akademisi Güvenlik Bilimleri Fakültesine temin edilecek (200) öğrencinin;
(1) %60'ı (120 öğrenci) Eşit Ağırlık (EA) puan türünden (Şehit veya vazife malulü eş ve çocukları kontenjanı 6),
(2) %20'si (40 Öğrenci) Sayısal (SAY) puan türünden (Şehit veya vazife malulü eş ve çocukları kontenjanı 2),
(3) %20'si (40 Öğrenci) Sözel (SÖZ) puan türünden (Şehit veya vazife malulü eş ve çocukları kontenjanı 2), alınacaktır.
ç. YKS sınav sonucu olmayan veya belirlenen taban puanın altında not alan adaylar değerlendirmeye alınmayacaktır.
d. Başvuru yapan adaylar tercih ettiği puan türüne ve o puan türü için belirlenen kontenjana göre en yüksek puandan düşüğe doğru sıralanacak ve kontenjan miktarının on katı adaya https://vatandas.jandarma.gov.tr/PTM/Giris internet adresi üzerinden "Seçme Sınavlarına Çağrılma " duyurusu yapılacaktır.
NOT : Adaylar tek tercih (Eşit Ağırlık, Sayısal yada Sözel) yapacaktır. Sayısal ve Sözel puan türünde kontenjanın dolmaması durumunda eksik kalan kontenjanlar Eşit Ağırlık puan türüne aktarılacaktır.
3. YASAL DAYANAK :
a. Jandarma ve Sahil Güvenlik Akademisi Başkanlığı Fakülte ve Meslek Yüksekokulları Temin Yönetmeliği.
b. TSK, J.Gn.K.lığı ve Shl.Güv.K.lığı Sağlık Yeteneği Yönetmeliği.
c. Güvenlik Soruşturması ve Arşiv Araştırması Yönetmeliği.
ç. Jandarma Genel Komutanlığının 2021-2025 Personel Temin ve Yetiştirme Planı.
d. 05 Temmuz 2021 tarihli ve "Taban Puan ve Puan Türlerinin Belirlenmesi" konulu Bakanlık Oluru.
4. ADAYLARDA ARANACAK NİTELİKLER :
a. Türkiye Cumhuriyeti vatandaşı ve erkek olmak,
b. Lise veya lise dengi meslek okullarından mezun olmuş veya kayıt tarihine kadar mezun olabilecek durumda olmak,
c. Öğrenimlerini yurtdışında bitirenlerin diplomalarının yurtiçinde geçerli olduğunu belirten Milli Eğitim Bakanlığınca (MEB) onaylanmış denklik belgeleri bulunmak ve bunu başvuruların yapıldığı Personel Temin Sistemi'ne (PTS) yüklemek,
ç. Evli, çocuklu olmamak veya herhangi bir kadınla nikahsız olarak birlikte yaşamamak,
d. Düzeltilmemiş nüfus kaydına göre müracaat yapılan yılın Ocak ayının biri (01 Ocak 2021) itibarıyla yirmi bir (21) yaşını bitirmemiş olmak, [(1 Ocak 2000 ve sonrası doğumlular başvuru yapabilecektir.) (Mahkeme kararı ile yaş düzeltmesi yaptıran adayların, yaş düzeltmesinden önceki yaşları esas alınır. Bu husus, sınavlar ve kayıt-kabul işlemleri sırasında kontrol edilecektir.)]
e. Güvenlik soruşturması ve arşiv araştırması olumlu olmak,
f. Silah taşımaya veya silahlı görev yapmaya hukuki bir engeli bulunmamak,
g. Türk Silahlı Kuvvetleri, Jandarma Genel Komutanlığı ve Sahil Güvenlik Komutanlığı Sağlık Yeteneği Yönetmeliği'nin, öğrenci adaylarında aranacak sağlık yeteneklerine ilişkin bölümünde gösterilen sağlık koşullarına sahip olmak ve sevk edileceği Sağlık Bakanlığınca yetkilendirilmiş hastanelerden "Jandarma ve Sahil Güvenlik Akademisi Fakülte Öğrenci Adayı Olur" kararlı sağlık kurulu raporu almak,
ğ. Milli Savunma Üniversitesinin 2021 yılı öğrenci temini kapsamında, TSK, J.Gn.K.lığı ve S.G.K.lığı Sağlık Yeteneği Yönetmeliğine göre alınmış olan 'Askeri Öğrenci Olur' raporları, Jandarma ve Sahil Güvenlik Akademisi Güvenlik Bilimleri Fakültesine başvuruda da geçerli sayılacaktır.
h. Yapılacak fiziki kontrolde vücut yapısı düzgün, her bakımdan sağlam ve fiziki görünüşü kusursuz olmak (Göğüs kafesi ve omurgasında şekil bozukluğu bulunmamak, düz taban olmamak, TSK, J.Gn.K.lığı ve Shl.Güv.K.lığı Sağlık Yeteneği Yönetmeliğine göre vücudun herhangi bir yerinde dövme, kendine zarar verme işareti olan jilet, sigara yanığı izleri bulunmamak.),
ı. 26/9/2004 tarihli ve 5237 sayılı Türk Ceza Kanununun "Genel Ahlaka Karşı Suçlar" başlıklı Yedinci Bölümdeki suçları işlememiş olmak, bu suçlardan hakkında herhangi bir adli veya idari soruşturma veya kovuşturma devam ediyor olmamak, bunlardan dolayı idari yaptırım uygulanmamak veya bu işler nedeniyle hüküm giymemiş olmak,
i. 5237 sayılı Türk Ceza Kanununun 53'üncü maddesinde belirtilen süreler geçmiş olsa bile; kasten işlenen bir suçtan dolayı hükmün açıklanmasının geri bırakılmasına karar verilmiş olsa dahi bir yıl veya daha fazla süreyle hapis cezasına mahküm olmamak,
j. Affa uğramış veya hükmün açıklanmasının geri bırakılmasına karar verilmiş olsa bile devletin güvenliğine karşı suçlar, anayasal düzene ve bu düzenin işleyişine karşı suçlar, zimmet, irtikap, rüşvet, hırsızlık, dolandırıcılık, sahtecilik, güveni kötüye kullanma, hileli iflas, ihaleye fesat karıştırma, edimin ifasına fesat karıştırma, suçtan kaynaklanan malvarlığı değerlerini aklama, kaçakçılık veya cinsel dokunulmazlığa karşı suçlardan dolayı mahküm olmamak veya bu suçlardan dolayı devam etmekte olan bir soruşturma veya kovuşturma bulunmamak veya kovuşturması uzlaşma ile neticelenmemiş olmak,
k. Alkol, uyuşturucu veya uyarıcı madde kullanımı nedeniyle tedavi görmüş veya görüyor olmamak,
l. Kamu haklarını kullanmaktan yoksun bırakılmış olmamak,
m. Sağlık Yeteneği Yönetmeliği hükümleri nedeniyle ilişiği kesilenler hariç; herhangi bir nedenle askeri okullardan, Emniyet Teşkilatına bağlı okullar ile Jandarma ve Sahil Güvenlik Eğitim kurumlarından ayrılmamış veya çıkarılmamış olmak, sivil okullardan çıkarılmamış olmak,
n. Terör örgütleri ile bu örgütlerin yasal veya yasadışı uzantılarının eylemlerine, toplantılarına, yürüyüş ve mitinglerine karışmamış, desteklememiş, katılmamış olmak,
o. Bakanlar Kurulu Kararları ve mahkeme kararlarınca terör örgütü olarak kabul edilmiş tüm terör örgütleriyle irtibatı ve iltisakı bulunmamak,
ö. Başvuru tarihinde herhangi bir siyasi partiye üye olmadığına dair yazılı beyan sunmak,
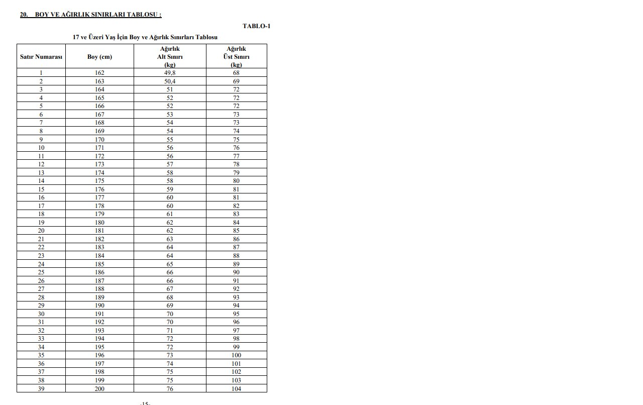
?. Tablo-1'de yer alan Yaş-Boy-Kilo-VKİ sınırları içerisinde yer almak (Tablo-1'in açıklama bölümünün adaylar tarafından okunması önem arz etmektedir). (Ağırlık, şortlu/eşofmanlı vücut ağırlığıdır. Boy, çıplak ayakla ölçülür.) 19 yaş ve üzeri adaylar hakkında tablonun ilk iki satırı uygulanmaz (19 yaş altı adaylar için boy alt sınırı 162 santimetre, üst sınırı ise 190 santimetredir. 19 yaş ve üzerindeki adaylar için ise boy alt sınırı 164 santimetredir.)
r. TSK, J.Gn.K.lığı ve Shl.Güv.K.lığı Sağlık Yeteneği Yönetmeliği'ndeki sağlık niteliklerini taşımadıkları sonradan anlaşılan adayların okulla ilişikleri kesilecektir.
s. Başvuru ve giriş koşullarını taşımadığı halde, seçme sınavlarına katılanlar veya giriş şartlarını taşımadığı sonradan tespit edilenler, bütün aşamalarda başarılı olsalar dahi işlemleri iptal edilecek, sınav sonuçlarına bakılmaksızın adaylıkları, öğrenime başlamışlarsa öğrencilikleri sona erdirilecektir.
5. BAŞVURU YÖNTEMİ VE BAŞVURULARIN YAPILMASI:
a. Başvurular sadece https://vatandas.jandarma.gov.tr/PTM/Giris internet adresi Jandarma ve Sahil Güvenlik Akademisi Başkanlığı Personel Temin Sistemi üzerinden e-Devlet kapısı vasıtasıyla yapılacaktır. İnternet ortamı dışında posta yoluyla veya şahsen yapılan başvurular dikkate alınmayacaktır.
b. Adayların "Başvuru Kılavuzunun" tamamını okuduktan sonra başvurusunu yapması gerekmektedir.
c. Başvurular; 12 Temmuz 2021 günü başlayıp, 08 Ağustos 2021 günü saat 23.59'da sona erecektir.
ç. Jandarma ve Sahil Güvenlik Akademisi Başkanlığı Personel Temin Sistemi'ne e-Devlet kapısı üzerinden e-devlet şifresi, mobil imza, e-imza, T.C. kimlik kartı veya internet bankacılığı seçeneklerinden birisi ile giriş yapılacaktır.
d. Jandarma ve Sahil Güvenlik Akademisi Başkanlığı Personel Temin Sistemi'ne giriş yaptıktan sonra adaylar tarafından başvuru yapılabilmesi için ''Profil Bilgileri'' bölümünden;
(1) Kimlik bilgilerinin güncellenmesi (sadece MERNİS'ten güncelleme yapılabilecektir),
(2) Fotoğraf yüklenmesi (Fotoğraf vesikalık olacaktır),
(3) Adres bilgisinin ve iletişim bilgilerinin girilmesi (adres bilgisi MERNİS'ten çekilerek veya elle girilerek yapılabilecek olup, SMS ile duyuru yapılabilmesi için en az bir cep telefonu numarası girilmesi zorunludur. Girilecek cep telefon numarasının temin işlemleri tamamlana kadar aktif olması gerekmektedir. Ayrıca cep telefon numarası değişikliği talep edilmeyecektir.),
(4) Eğitim bilgilerinin yüklenmesi [Eğitim bilgileri "MEB'ten Al" veya "Belgeye Dayalı" şeklinde girilecektir. "Belgeye Dayalı"yüklemelerde; mezun adaylar diplomasını, son sınıf öğrencileri öğrenci belgesini, MEB onaylı denklik belgesi olan adaylar ise denklik belgesini (taranmış olarak veya resim olarak) sisteme yükleyecektir.],
(5) Boy-kilo bilgisinin beyan edilmesi,
(6) Yaş düzeltmesi olan adaylar için "Diğer Bilgi/Belgelerim" bölümünde yer alan ''Yaş Düzeltme Belgesi"nin (taranmış olarak veya resim olarak) yüklenmesi,
(7) Şehit veya Vazife Malullerinin Eş ve Çocuğu olan adayların "Diğer Bilgi/Belgelerim" bölümünde yer alan 'Şehit Gazi Yakınlık Belgesi'ni (PTS'ye taranmış olarak veya resim olarak) yüklemesi (Kurum veya Valilik onaylı şehitlik veya vazife malullüğü belgesi veya Sosyal Güvenlik Kurumu Başkanlığı tarafından verilen belge) zorunludur.
e. Profil bilgilerim kısmındaki bilgi ve belge girişleri tamamlandıktan sonra
''Başvurularım'' kısmından ''Başvuru Sürecindekiler'' kısmı seçilerek ''2021 Yılı Jandarma ve Sahil Güvenlik Akademisi Güvenlik Bilimleri Fakültesi Öğrenci Temini'' seçilerek ''Başvuru Yap'' butonuna basılarak başvuru süreci başlatılacaktır.
f. ''Başvuru Yap'' butonuna basıldıktan sonra başvuru şartları bilgilendirme ekranı çıkacak ve adaylar tarafından bu ekranda çıkan bilgilerin tamamı okunduktan sonra sol alt köşede yer alan ''Okudum ve onaylıyorum'' kutucuğu işaretlenerek ''Devam Et'' butonuna basılarak tercih seçimi kısmına geçilecektir. ''Okudum ve onaylıyorum'' kutucuğunun işaretlenmesi ile adaylar tarafından bu ekranda yazılı olan tüm sınav şartlarını taşıdıklarını kabul ve beyan ettikleri kabul edilecektir.
g. ''Devam Et'' butonuna basıldıktan sonra tercih ekranı gelecek ve adaylar tarafından ''2021 Yılı Jandarma ve Sahil Güvenlik Akademisi Güvenlik Bilimleri Fakültesi Öğrenci Temini'' seçilerek ''Başvuruyu Tamamla'' butonuna basılarak başvuru tamamlanacaktır.
ğ. "Başvuruyu Tamamla" butonuna basıldıktan sonra ekrana "Aday Bilgi Formu" gelecektir. Aday tarafından formdaki bilgiler kontrol edilerek "PDF" olarak indirilecek ve iki nüsha çıktısı alınarak imzalanacaktır.
SINAV ÇAĞRISI YAPILAN ADAYLAR TARAFINDAN BU FORM İMZALI OLARAK İKİ NÜSHA SINAVA GETİRİLECEKTİR.
h. Başvurunun tamamlanması ile tüm profil bilgileri başvuru bilgileri olarak sistem tarafından saklanacak ve adayların başvuruları bu bilgiler üzerinden yapılacaktır. Başvuru sonrasında yapılacak değişiklikler bu başvuru bilgisini değiştirmeyecektir. Bu sebeple profil bilgilerinin değiştirilmesi veya güncellenmesi durumunda; ''Başvuru Sürecindekiler'' kısmından mevcut başvurunun silinerek başvurunun tekrar yapılması gerekmektedir. Başvurunun güncellenmemesi durumunda profil bilgileri değiştirilirse veya güncellense dahi başvuru bilgileri değişmeyecek ve adayın başvurusu eski bilgiler üzerinden yapılacaktır.
ı. Başvuru bilgileri (h) fıkrasında belirtilen şekilde başvuru süresi içerisinde değiştirilebilecek/güncellenebilecek ve adayın son başvurusundaki bilgiler üzerinden değerlendirmesi yapılacaktır.
i. Sistem tarafından başvuru işlemleri sırasında adayların profil bilgileri ile başvuru şartları karşılaştırılmakta ve sadece şartları uyan adaylar başvuru işlemlerini tamamlayabilmektedir. Bu sebeple adayların başvurularını doğru ve sorunsuz yapabilmeleri için ekranlarda yazılı olan ve işlemler sırasında ekrana gelen uyarı ve hata mesajlarını çok dikkatli okumaları talimatlara uymaları önem arz etmektedir.
j. Sisteme girilen tüm bilgi/belgelerin doğruluğundan ve sonrasında doğabilecek hukuki sorumluluklardan aday sorumludur. Girilen bilgi/belgelerin kılavuzda yer alan başvuru şartlarına uygun olmadığının tespit edilmesi durumunda temin sürecinin hangi aşamasında olursa olsun aday elenmiş kabul edilecek (öğrenci olarak kayıt-kabul yapılarak öğrenime başlansa dahi) ve adayın işlemleri iptal edilecektir. Bu kapsamda "Belgeye Dayalı" olarak sisteme yüklenen belgelerin doğru ve okunaklı olması gerekmektedir.
k. İnternet ilanlarının www.jandarma.gov.tr ve www.jsga.edu.tr internet adreslerinden takip edilmemesi nedeniyle, seçme sınavlarına katılamamaktan doğan sorumluluk adaylara aittir. Adayların internet adreslerinden durumlarını ve yapacakları işlemleri takip etmeleri gerekmektedir.
2021 YILI
JANDARMA VE SAHİL GÜVENLİK AKADEMİSİ GÜVENLİK BİLİMLERİ FAKÜLTESİ BAŞVURU-SONUÇ VE DUYURULARIN AÇIKLANMASI
https://vatandas.jandarma.gov.tr/PTM/Giris
6. BAŞVURULARIN AÇIKLANMASI VE SINAVA KATILACAKLARIN BELİRLENMESİ :
a. Adaylar YKS'den aldıkları puana ve tercih ettiği puan türüne göre en yüksekten en düşüğe doğru sıralanacak ve kontenjan miktarının on katı adaya https://vatandas.jandarma.gov.tr/PTM/Giris internet adresi üzerinden "Seçme Sınavlarına Çağrılma" duyurusu yapılacaktır.
b. Başvuru sonuçları, sınav takvimi ve diğer duyurular https://vatandas.jandarma.gov.tr/PTM/Giris internet adresi Jandarma ve Sahil Güvenlik Akademisi Personel Temin Sistemi ''Sonuç Bilgileri'' bölümü altında ''Sonuçlarım'' kısmında yapılacaktır. Adaylar temin takvimine göre duyuruları takip etmekle sorumludur. Adayların adreslerine herhangi bir tebligat gönderilmeyecektir. Jandarma ve Sahil Güvenlik Akademisi Personel Temin Sistemi'nde yapılacak duyurular ile SMS bildirileri resmi tebligat niteliği taşımaktadır.
7. SINAVLARA ÇAĞRILACAK ADAYLARIN GELİRKEN GETİRECEĞİ BELGELER:
Sınava çağrılacak adaylara ayrıca bildirilecektir.
8. UYGULANACAK SINAV AŞAMALARI HAKKINDA BİLGİ :
Seçme sınavları, Jandarma ve Sahil Güvenlik Akademisi (JSGA) Başkanlığı yerleşkesinde (Beytepe/Çankaya/ANKARA) yapılacak olup, adaylar fiziki kontrol, fiziki yeterlilik ve mülakat olmak üzere üç aşamalı sınava tabi tutulacaktır.
(1) Fiziki Kontrol :
(a) Adaylar fiziki yeterlilik sınavına girmeden önce Fiziki Kontrol Komisyonu tarafından kontrolden geçirilir.
(b) Fiziki kontrol; TSK, J.Gn.K.lığı ve S.G.K.lığı Sağlık Yeteneği Yönetmeliğine göre yapılır. Her bir aday, Tablo-1'de bulunan standartlara göre değerlendirilir. Ayrıca yapılacak fiziki kontrolde vücut yapısı düzgün, her bakımdan sağlam ve fiziki görünüşü kusursuz olmak (Göğüs kafesi ve omurgasında şekil bozukluğu bulunmamak, düz taban olmamak, TSK, J.Gn.K.lığı ve Shl.Güv.K.lığı Sağlık Yeteneği Yönetmeliğine göre vücudun herhangi bir yerinde dövme, kendine zarar verme işareti olan jilet, sigara yanığı izleri bulunmamak.) zorundadır.
(c) Fiziki Kontrol Komisyonu, standartları sağlayan adaylar hakkında "Jandarma ve Sahil Güvenlik Akademisi Fakülte Öğrenci Adayı Olur.", sağlayamayan adaylar hakkında "Jandarma ve Sahil Güvenlik Akademisi Fakülte Öğrenci Adayı Olamaz" şeklinde karar verir. Olumsuz karar verilen adaylar hakkında gerekçe belirtilir.
(ç) Hakkında "Jandarma ve Sahil Güvenlik Akademisi Fakülte Öğrenci Adayı Olamaz." kararı verilen adaylar, itiraz hakkını kullanabilir, sonucun değişmemesi durumunda diğer sınav aşamalarına geçemezler.
(2) Fiziki Yeterlilik Sınavı :
(a) Fiziki Kontrol Komisyonu tarafından "Jandarma ve Sahil Güvenlik Akademisi Fakülte Öğrenci Adayı Olur." kararı verilenler, fiziki yeterlilik sınavına alınırlar.
(b) Fiziki yeterlilik sınav komisyonu aday değerlendirme ve seçmesini, adayın mevcut durumunu bizzat görerek yapar.
(c) Fiziki yeterlilik sınavı, adayın bedeni kabiliyeti ve fiziki yapısı değerlendirilmek üzere TABLO-2'de örneği bulunan standartlara uygun parkurda, parkur geçiş talimatına göre uygulamalı olarak yapılır. (Parkur geçiş talimatı TABLO-2'nin devamındadır.)
(ç) Başarılı olmak için beş yüz tam puan (500) üzerinden en az üç yüz puan (300) almak zorunludur.
(3) Mülakat Sınavı :
(a) Fiziki yeterlilik sınavında başarılı olan adaylar, mülakat sınav komisyonu tarafından mülakat sınavına tabi tutulurlar.
(b) Değerlendirmede adayın;
- Konu hakkında bilgi düzeyi,
- Kendisinden istenileni kavrama,
- Özgüveni,
- İfade etme yeteneği,
- Beden dilini kullanma becerisi, olmak üzere beş ayrı kritere göre ve her bir kriter yüz (100) puan olmak üzere toplam beş yüz (500) tam puan üzerinden yapılır. Adayın mülakat sınavından başarılı olabilmesi için beş yüz (500) puan üzerinden en az üç yüz (300) puan alması gerekir.
NOT-1: Adaylar sınava gelirken yanlarında cep telefonu, ses-görüntü kayıt cihazı veya
benzer özellikli değişik elektronik cihazları getirmeyecektir. Bu tür cihazlarla gelen adaylar sınav alanına alınmayacaktır.
NOT-2: Şehit veya vazife malulü eş ve çocukları için belirlenen kontenjanların tamamlanamaması durumunda, eksik kalan kontenjan; normal aday kontenjanına aktarılacaktır.
NOT-3: Adayların en son mezun olabilecekleri ve mezuniyet belgesini ibraz edecekleri kayıt tarihi 27 Eylül 2021'dir.
NOT-4: COVİD-19 salgını nedeniyle sınav tarihleri ve diğer aşamalarla (Sınav sonuçlarının duyurulması, sağlık raporlarının alınması vb.) ilgili hususlar ayrıca duyurulacaktır. Seçme sınavına çağırılacak tüm adaylardan Hayat Eve Sığar (HES) kodu istenecektir.
NOT-5: Seçme sınavlarında başarılı olan ve geçici/ön kayıt yaptırmak isteyen asıl adaylar, Personel Temin Sistemi (PTS) üzerinden açılacak olan Geçici/Ön kayıt butonuna işaretleme yapacaklardır. Geçici/Ön kayıt butonu ile ilgili bilgilendirme PTS üzerinden ayrıca duyurulacaktır.
9. BAŞARI SIRALAMASININ YAPILMASI:
a. Fakülte öğrenci adayları için başarı sıralamasına esas giriş puanı; Yüksek Öğretim Kurumları Sınavı (YKS)'nın Alan Yeterlilik Testi (AYT)'nden aldıkları puanın %60'ı, Ortaöğretim Başarı Puanının (OBP) % 5'i, fiziki yeterlilik sınavı puanının %15'i ve mülakat sınavı puanının % 20'sinin toplamıdır. Adaylar arasından başarı sıralaması puanında eşitlik olması halinde sırasıyla; YKS puanı, mülakat puanı, fiziki yeterlilik puanının yüksekliği esas alınır. Bunlarda da eşitlik olması halinde yaşı küçük olan aday tercih edilir. Adaylar bu sıralamaya göre asıl ve yedek olarak belirlenir. Hesaplamalarda virgülden sonra iki hane dikkate alınır.
b. Şehit veya vazife malulü eş ve çocuklarıyla ilgili kontenjan, Jandarma ve Sahil Güvenlik Fakültesine alınacak öğrenci sayısının % 5'i oranındadır. Genel sıralama içerisinde başarılı olan adaylar bu sıralamanın dışında değerlendirilir.
c. Başarı sıralamasına esas giriş puanına göre adaylar için asıl, yedek ve başarısız olmak üzere ayrı ayrı sınav sonuç listesi düzenlenir. Şehit veya vazife malulü eş ve çocukları için de aynı şekilde ayrı bir sınav sonuç listesi düzenlenir. Asıl adayların bir katına tekabül eden sayıda yedek aday listesi, en yüksek puandan başlanarak belirlenir.
ç. Sınavlardan başarılı olup asıl ve yedek listede yer alan adayların, bu aşamalarda yapmaları gereken işlemler, internet duyurularıyla ayrıca belirtilecektir. Adayların bu duyuruları dikkatle takip ederek, belirtilen hususları eksiksiz ve zamanında yerine getirmeleri yararlarına olacaktır.
10. SINAV SONUÇ LİSTESİNİN İLANI :
Adayların sınav sonuçları, sınav ile ilgili işlemler tamamlandıktan sonra https://vatandas.jandarma.gov.tr/PTM/Giris internet adresi Jandarma ve Sahil Güvenlik Akademisi Personel Temin Sistemi ''Sonuç Bilgileri'' bölümü altında ''Sonuçlarım'' kısmında yayımlanacaktır. Adaylar temin takvimine göre duyuruları takip etmekle sorumludur. Adayların adreslerine herhangi bir tebligat gönderilmeyecektir. Jandarma ve Sahil Güvenlik Akademisi Personel Temin Sistemi'nde yapılacak duyurular ile SMS bildirileri resmi tebligat niteliği taşımaktadır.
11. SAĞLIK KURULU RAPORUNUN ALINMASI:
a. Yapılan sınavlarda başarılı olan adaylar TSK, J.Gn.K.lığı ve S.G.K.lığı Sağlık Yeteneği Yönetmeliğindeki hükümlere göre Sağlık Raporu almak üzere Sağlık Bakanlığınca yetkilendirilmiş hastanelere sevk edilecek ve "Jandarma ve Sahil Güvenlik Akademisi Fakülte Öğrenci Adayı Olur." raporu aldırılacaktır.
b. Milli Savunma Üniversitesinin 2021 yılı öğrenci temini kapsamında, TSK, J.Gn.K.lığı ve S.G.K.lığı Sağlık Yeteneği Yönetmeliğine göre alınmış olan 'Askeri Öğrenci Olur' raporları, Jandarma ve Sahil Güvenlik Akademisi Güvenlik Bilimleri Fakültesine başvuruda da geçerli sayılacaktır.
c. TSK, J.Gn.K.lığı ve S.G.K.lığı Sağlık Yeteneği Yönetmeliğindeki şartlara haiz olmayan ve , "Jandarma ve Sahil Güvenlik Akademisi Fakülte Öğrenci Adayı Olamaz" şeklinde rapor verilen adayların geçici kayıtları yapılmaz.
12. GÜVENLİK SORUŞTURMASI İŞLEMLERİ :
Kayıt yaptıran adayların güvenlik soruşturması işlemlerine başlanır.
13. KAYIT KABUL:
a. Sınavlarda başarılı olmuş ve olumlu sağlık kurulu raporu almış asıl adayların geçici kayıtları yapılır. Geçici kayıtları yapılan adayların sağlık kurulu raporları Kayıt Kabul Komisyonunca incelenir. Raporunda eksiklik görülen adayların eksiklikleri tamamlatılır. Gerekirse öğrenci yeniden muayene ettirilebilir.
b. Eksiklerini tamamlamayan, güvenlik soruşturması ve arşiv araştırması sonucu menfi olarak gelen veya yeniden muayene sonucunda TSK, J.Gn.K.lığı ve S.G.K.lığı Sağlık Yeteneği Yönetmeliğindeki şartlara haiz olmadığı anlaşılan adayların ilişikleri kesilir.
c. Geçici kayıtlara başvuru, bizzat adayın kendisi tarafından yapılır.
14. İNTİBAK EĞİTİMİ :
a. Fakülteye geçici kaydı yapılan adaylar Jandarma ve Sahil Güvenlik Akademisi Başkanlığının belirleyeceği takvim doğrultusunda intibak eğitimine tabi tutulurlar.
b. Geçici kayıt süresince adayların Fakülteye öğrenci olup olamayacaklarına dair sağlık kurulu raporları ve buna bağlı olarak yapılacak tetkik ve tedaviler hariç diğer sağlık giderleri, iaşe ve ibateleri kurum tarafından karşılanır.
15. YEDEK ADAY ÇAĞIRMA :
a. Geçici kayıt sırasında Fakülteye giremeyecekleri anlaşılan, eksik belge getiren, intibak eğitiminin başladığı günün mesai bitimine kadar başvuruda bulunmayan, ayrılan, vefat eden veya olumsuz sağlık raporu alan adayların yerine yedek adaylar sırası ile çağrılır.
Çağrılan yedek aday, kendine tebliğ edildiği tarihten itibaren en geç üç iş günü içinde Başkanlığa (Personel Temin Merkezi Komutanlığına ) evrakları ile birlikte gelerek müracaatta bulunur. Çağrılan adaylar sağlık raporu almaları için Temin Merkezince belirlenecek bir süre verilerek Sağlık Bakanlığınca yetkilendirilmiş hastanelere sevk edilirler. Bu süre içinde müracaat etmeyen ya da eksik belge ile gelen adaylar haklarını kaybetmiş sayılırlar ve bu adayların geçici kayıtları yapılmaz. Bu adayların dosyaları Temin Merkezince işlemden kaldırılır. Bunların yerine de yine aynı usulle yedek aday çağırma işlemi yapılır.
b. İntibak eğitimini müteakip eğitim-öğretimin başlaması gününden itibaren beş (5) iş günü geçtikten sonra kontenjan doldurulmamış olsa dahi yedek aday çağrılmaz.
c. Adaylara yedek çağrısı https://vatandas.jandarma.gov.tr/PTM/Giris internet adresi Jandarma Ve Sahil Güvenlik Akademisi Personel Temin Sistemi üzerinden yapılacaktır. Adayların adreslerine herhangi bir tebligat gönderilmeyecektir. Jandarma Ve Sahil Güvenlik Akademisi Personel Temin Sistemi'nde yapılacak duyurular ile SMS bildirileri resmi tebligat niteliği taşımaktadır.
16. İNTİBAK EĞİTİMİ DÖNEMİNDE ÇIKMA VEYA ÇIKARILMA :
a. Adaylar, intibak eğitiminin herhangi bir aşamasında Fakülteye yazılı başvuruları ile çıkma isteklerini bildirerek ayrılabilirler. Çıkan adayların geri dönme istekleri kabul edilmez.
b. Kendi istekleri ile ayrılan veya ilişiği kesilen adaylar bir daha Fakülte giriş sınavlarına başvuruda bulunamazlar. Bu durum, ayrılan adaylara yazılı olarak tebliğ edilir.
c. Bu kılavuzun 4'üncü maddesinde sayılan nitelikleri taşımadıkları anlaşılan adayların ilişikleri kesilir.
ç. İntibak eğitimi döneminde JSGF'den kendi isteği ile ayrılan veya ilişiği kesilen adaylar, eğitim-öğretimin başlangıcına kadar yapılan masraflardan sorumlu tutulmazlar.
17. HUKUKİ SORUMLULUK :
a. Bu kılavuzda yer alan hususlar, kanun ve yönetmeliklerde belirtilenler saklı olmak üzere, Jandarma ve Sahil Güvenlik Akademisi Başkanlığı tarafından gerekli görüldüğü takdirde değiştirilebilir.
b. İlgili mevzuat ile bu kılavuzda belirtilen hususlara aykırı davranma sonucu doğacak sorumluluk adayın kendisine aittir.
18. SINAV TAKVİMİ :
Başvuru Tarihleri ve Saati : 12 Temmuz-08 Ağustos 2021 saat: 23:59'a kadar
Sınav Tarihleri : Ağustos-Eylül 2021 aylarında icra edilmesi planlanmaktadır.
Sonuçlarının Duyurulması : Onayı müteakip
19. İLETİŞİM VE ULAŞIM BİLGİLERİ :
a. İletişim Bilgileri:
Jandarma ve Sahil Güvenlik Akademisi (JSGA) Yerleşkesi
JSGA Başkanlığı Personel Temin Merkezi Komutanlığı
Beytepe/Çankaya/ANKARA
TEL: (0312) 464 4836
b. Resmi İnternet Adresleri:
(1) Jandarma Genel Komutanlığı: www.jandarma.gov.tr
(2) Jandarma ve Sahil Güvenlik Akademisi Başkanlığı: www.jsga.edu.tr
c. Ulaşım Bilgileri:
Ulus (Dışkapı-ANKARA) : Bu bölgeden, Ulus-İncek hattında çalışan minibüsler ile gelinebilir. Minibüslerin ilk kalkış durağı Bentderesi dolmuş duraklarıdır. Minibüsler; buradan hareketle Dışkapı, Etlik Kavşağı, İskitler, Ankara İl Emniyet Müdürlüğü önü, AŞTİ, Konya Yolu, Or-An Kavşağı, İncek Bulvarı güzergahını takip ederek Jandarma ve Sahil Güvenlik Akademisi Başkanlığı önünden geçmektedir.
Ankara Şehirlerarası Otobüs Terminali İşletmeleri (AŞTİ) : İl dışından sınavlara katılmak üzere Ankara'ya gelen adaylar AŞTİ'de indikten sonra, Konya Yolu üzerindeki minibüs duraklarından geçen Ulus-İncek hattında çalışan minibüsler ile gelebilir. Minibüsler buradan hareketle, Konya Yolu üzerinden, Or-An Kavşağı, Şehit Savcı Mehmet Selim KİRAZ Bulvarı güzergahını takip ederek Jandarma ve Sahil Güvenlik Akademisi Başkanlığı Yerleşkesi önünden geçmektedir.
Kızılay (Güvenpark Önü-ANKARA) : Fevziye (194 numaralı otobüs), Tulumtaş (192 numaralı otobüs), Taşpınar (191 numaralı otobüs) istikametlerine giden EGO otobüsleri ile ulaşılabilir.


Türkçe karakter kullanılmayan ve büyük harflerle yazılmış yorumlar onaylanmamaktadır.